Избыточные товарные запасы отвлекают оборотный капитал, снижают ликвидность и увеличивают потребность во внешнем финансировании. Разберем методику расчета оборачиваемости товаров и периода оборота в днях с практическими примерами, чтобы оптимизировать оборачиваемость товарных запасов.
Содержание
Экономический смысл оборачиваемости товарных запасов
Показатель оборачиваемости товарных запасов — один из ключевых индикаторов эффективности работы торговой компании. Он показывает, с какой скоростью товар проходит путь «приобретение – хранение – реализация». Высокая оборачиваемость сокращает цикл «деньги – товар – деньги», снижает потребность в оборотном капитале и издержки хранения. Низкая оборачиваемость указывает на затоваривание, заморозку средств и риск убытков.
Для анализа используют два показателя:
- коэффициент оборачиваемости — показывает, сколько раз запасы обернулись за период
- период оборота в днях — дает информацию, на сколько дней хватает запасов при текущем уровне продаж
Выбор показателя зависит от задачи: оперативный контроль запасов, сравнение с нормативами или оценка динамики.
Определение средних товарных запасов
Базовый элемент последующих вычислений — средние товарные запасы (СрТЗ).
Формула расчета СрТЗ по данным на начало и конец периода:
Получите понятные самоучители 2026 по 1С бесплатно:
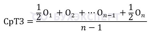
Формула расчета СрТЗ по данным нескольких отчетных дат (например, помесячные остатки внутри квартала):
где:
Пример 1
Бухгалтер ООО «Бригантина» рассчитывает СрТЗ по упрощенной формуле.
Данные для расчета:
- остаток товара на начало марта — 400 тыс. руб.
- остаток товара на конец марта — 200 тыс. руб.
Расчет:
Пример 2
В ООО «Оптовик» стоимость товарных остатков:
- на 01.01.2026 — 500 тыс. руб.
- на 01.02.2026 — 600 тыс. руб.
- на 01.03.2026 — 450 тыс. руб.
- на 01.04.2026 — 400 тыс. руб.
Бухгалтер компании рассчитал СрТЗ:
Показатель будем использовать в дальнейших расчетах и анализе оборачиваемости товарных запасов.
Оборачиваемость товаров: формула и порядок расчета
Формула расчета коэффициента оборачиваемости (Коб) товаров:
Пример 3
В ПАО «Торговля Люкс» для расчета коэффициента оборачиваемости использовали данные:
- себестоимость реализованного за апрель — 1 200 000 руб.
- средние товарные запасы — 300 000 руб.
За апрель товарные запасы полностью обновились 4 раза:
- Коб = 1 200 000 руб./300 000 руб. = 4
Чтобы оценить длительность одного цикла, применяют расчет оборачиваемости запасов в днях:
или
где Д — количество дней в анализируемом периоде (30 — месяц, 90 — квартал, 365 — год)
Используя данные примера 3, рассчитаем оборачиваемость товарных запасов в днях:
или
Вывод: оборачиваемость товара составляет 7,5 дней. Это значит, что денежные средства, вложенные в товарную группу, возвращаются через 7,5 дня после поступления товара на склад.
Формула оборачиваемости склада
Если нужно оценить эффективность работы складского комплекса в целом, без разбивки по товарным группам, используйте формулу оборачиваемости склада. По сути, это тот же коэффициент оборачиваемости, но рассчитанный по совокупным остаткам и общей себестоимости реализованных товаров.
Детальные расчеты по товарным группам более информативны — позволяют делать эффективные выводы по оборачиваемости товарных запасов.
Пример 4
Рассмотрим склад строительных материалов. Исходные данные за апрель:
Показатель
Товар «Клей плиточный»
Товар «Грунтовка»
Остаток на 01.04.2026, кг 500
1 200
Остаток на 30.04.2026, кг 300
1 150
Себестоимость реализованных товаров, руб. 150 000
60 000
Стоимость единицы товара, руб. 100
50
Пошаговый расчет:
Шаг 1. Расчет СрТЗ в натуральном выражении
Шаг 2. Расчет СрТЗ в денежном выражении
- Клей:
400 кг × 100 руб. = 40 000 руб.
- Грунтовка:
1 175 кг × 50 руб. = 58 750 руб.
Шаг 3. Расчет коэффициента оборачиваемости товаров
Шаг 4. Расчет оборачиваемости запасов в днях, период — 30 дней
Вывод: клей оборачивается за 8 дней. Это нормальный показатель для расходного материала. Грунтовка имеет оборачиваемость около 30 дней — при себестоимости реализации 60 000 руб. это означает иммобилизацию средств в среднем остатке 58 750 руб. на целый месяц. Рекомендуется пересмотреть политику закупок по грунтовке: уменьшить партию поставки или перевести позицию в категорию «под заказ».
Кратко о методике расчета оборачиваемости товарных запасов
- Показатель оборачиваемости товарных запасов — один из ключевых индикаторов эффективности работы торговой компании. Он показывает скорость, с которой товар проходит путь «приобретение – хранение – реализация»
- Высокая оборачиваемость сокращает цикл «деньги – товар – деньги», снижает потребность в оборотном капитале и издержки хранения
- Низкая оборачиваемость указывает на затоваривание, заморозку средств и риск убытков
- Для анализа используют два основных показателя: коэффициент оборачиваемости и период оборота в днях
См. также:
Если вы еще не подписаны:
Активировать демо-доступ бесплатно →
или
Оформить подписку на Рубрикатор →
После оформления подписки вам станут доступны все материалы по 1С Бухгалтерия, записи поддерживающих эфиров и вы сможете задавать любые вопросы по 1С.
Помогла статья?
Получите еще секретный бонус и полный доступ к справочной системе Бухэксперт на 8 дней бесплатно

















Обратите внимание!
В комментариях наши эксперты не отвечают на вопросы по программам 1С и законодательству.
Получить индивидуальную консультацию от наших специалистов можно в Личном кабинете